SurveyMonkey의 정확한 표본 크기 계산 도구를 사용하고 표본 크기 실행 방식을 알아보세요. 더 많이 알고 싶으세요? 신뢰할 수 있는 결과를 얻도록 고안된 기능과 설문조사 템플릿을 둘러보세요.
383
마켓 리서치를 하고 계시나요? SurveyMonkey Audience는 적합한 설문조사 응답자들을 신속하고 수월하게 확보하여 참여자 인구 통계, 소비자 행동, 지리적 위치, 심지어는 지정된 마케팅 지역별 응답자를 대상으로 하여 마켓 리서치를 진행할 수 있도록 해줍니다.
몇 명이 설문조사에 응답해야 하나요? SurveyMonkey의 표본 크기 계산기로 올바른 수의 응답을 수월하게 수집할 수 있습니다.
표본 크기는 설문조사를 통해 받은 완성된 응답 수입니다. 이는 의견이나 행동 양상을 알아보아야 하는 타겟팅 모집단을 대표해야 합니다.
다음을 살펴보겠습니다.
다음은 표본 크기를 계산하기 위해 이해해야 하는 3가지 주요 용어입니다.
모집단 크기는 연구하고자 하는 그룹 내에 있는 사람들의 총 수를 의미합니다. 예를 들어, 미국 사람들을 대상으로 설문조사를 한다면 모집단 크기는 약 3억 3천 3백만 명입니다. 회사를 대상으로 설문조사를 수행한다면 모집단 크기는 총 직원 수가 됩니다.
오차 한계는 설문조사 결과가 전체 모집단의 의견을 얼마나 정확하게 반영하는지를 나타내는 백분율입니다. 오차 한계가 낮을수록, 주어진 신뢰 수준에서의 답변 정확도는 높아집니다.
관련 자료: 오차 한계 계산기(공식 및 예시 포함)
신뢰 수준은 모집단이 특정 범위 내의 답변을 선택할 가능성에 대해 얼마나 확신할 수 있는지를 측정하는 값입니다. 예를 들어 95% 신뢰 수준은 결과가 x 및 y 사이에 있을 거라고 95% 확신할 수 있다는 뜻입니다.
신뢰 구간은 실제 결과가 위치할 가능성이 높은 통계적 범위를 나타냅니다. 예를 들어, 95% 신뢰 구간은 동일한 모집단을 여러 번 표본추출했을 때, 실제 결과는 약 표본의 95%에서 해당 구간 내에 존재할 것임을 의미합니다.
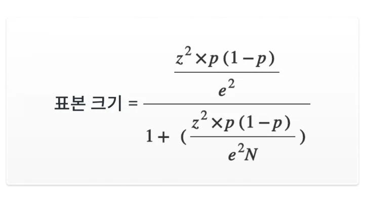
설문조사를 위한 최소 표본 크기는 어떻게 결정할까요? 직접 계산하고 싶다면, 아래의 공식을 사용할 수 있습니다.
N = 모집단 크기 • e = 오차 한계(십진수 형식의 백분율) • z = z점수
z점수는 해당 비율이 평균값에서 벗어나는 표준 편차의 수입니다. 어떤 z점수를 사용하는 것이 적절한지 알아내려면 아래 표를 참조하세요.
| 원하는 신뢰 수준 | z점수 |
| 80% | 1.28 |
| 85% | 1.44 |
| 90% | 1.65 |
| 95% | 1.96 |
| 99% | 2.58 |
몇 가지 표본 크기 계산 예시를 살펴보겠습니다.
인구 50만 명인 어떤 도시의 배달 서비스에 대한 일반적 의견을 묻는 설문조사를 수행하고 싶다고 가정해 봅시다. 신뢰 수준 95%, 오차 한계 5%를 원하는 경우, 공식 또는 위의 계산기를 사용하면 표본 크기가 384명으로 계산됩니다.
반면에, 직원 수가 300명인 회사 전체를 대상으로 설문조사를 진행하고, 신뢰 수준 80%, 오차 한계 10%를 원한다면, 필요한 표본 크기는 37명입니다.
설문조사 표본 크기는 일반적으로 연구의 목적과 설문조사 대상 모집단의 특성에 따라 달라집니다.
예를 들어, 고객 피드백 설문조사를 사용하는 경우엔 일부 고객만 포함해야 할 수도 있습니다. 반면에, 정치 여론조사에서는 전체 모집단을 정확하게 반영하기 위해 균형 잡힌 표본을 신중하게 선택해야 합니다.
다음은 각 요소가 설문조사에 어떤 영향을 미치는지에 대한 설명입니다.
설문조사 값이 결과의 정확도에 미치는 영향
| 값 증가 | 값 감소 | |
| 모집단 크기 | 정확성 감소 | 정확성 증가 |
| 표본 크기 | 정확성 증가 | 정확성 감소 |
| 신뢰 수준 | 정확성 증가 | 정확성 감소 |
| 오차 한계 | 정확성 감소 | 정확성 증가 |
다음과 같은 특정 사용 사례에 따라 어떤 표본 크기를 사용할지 판단할 수 있습니다.
대규모 표본 크기를 결정하는 보편적인 기준은 없습니다. 표본 크기는 연구 분야나 목적 등 상황에 따라 달라질 수 있습니다.
일반적으로 대규모 표본 크기는 연구 대상 모집단 내에서 유의미한 차이를 감지하기에 충분한 통계적 검정력을 확보해 줍니다. 많은 분야에서 전문가들은 수백 명 이상의 표본을 대규모 표본 크기로 간주합니다.
하지만 연구자는 통계적 검정력이나 가용 자원과 같은 요인을 기반으로 사용할 참가자 수를 결정합니다. 표본 크기는 진행하는 분석의 유형에 따라 달라질 수도 있습니다. 일부 통계 검정 기법은 다른 검정보다 더 큰 표본을 요구하기도 합니다.
또한, 모집단의 복잡성이 표본 크기에 영향을 준다는 점을 고려하는 것도 좋습니다. 다양성이 높은 모집단이나 희귀한 현상을 다룰 경우, 보다 큰 표본 크기가 필요할 수 있습니다.
다음 팁을 참고해 설문조사에 가장 적합한 표본 크기를 계산해 보세요.
데이터의 목적은 표본 크기를 결정할 수 있습니다. 표본이 너무 작으면 설문조사 결과의 정확성이 떨어질 수 있고, 표본이 너무 크면 설문조사 비용과 시간이 많이 소요될 수 있습니다.
설문조사 데이터를 수집할 때 정확한 결과를 원하거나, 더 큰 그룹에 적용하려는 경우, 더 큰 표본 크기가 필요할 수 있습니다. 주로 정성적인 인사이트를 얻기 위한 샘플 설문조사 데이터를 사용한다면, 더 작은 표본 크기로도 충분할 수 있습니다.
더 큰 표본 크기는 데이터 수집, 참여자 보상, 분석 등으로 인해 더 많은 비용이 들 수 있습니다. 더 적은 예산으로는 더 작은 표본 크기를 선택할 수도 있습니다. 시간 제약도 표본 크기에 영향을 미칠 수 있습니다.
설문조사를 수행할 시간이 충분하지 않다면 더 작은 표본 크기를 사용하여 정확한 데이터를 신속하게 수집할 수 있습니다. 반면, 시간이 충분하다면 더 큰 표본 크기를 목표로 하여 결과의 정밀도를 높일 수 있습니다.
설문조사 유형에 따라 표본 크기 결정에 대한 접근 방식은 달라져야 합니다. 고객 피드백 설문조사는 더 작은 표본 크기로도 유용합니다. 반면, 정치 여론조사는 보다 더 크고 대표성 있는 표본을 필요로 합니다. 접근 방식을 조정하여 통계적으로 탄탄하고 신뢰성 있는 결과를 얻을 수 있도록 하세요.
개방형 질문은 응답자가 답변을 자세하게 서술해야 하기 때문에 설문조사를 마치는 데 시간이 더 오래 걸립니다. 따라서 일부 응답자는 설문조사를 완료하지 않을 수 있고 이로 인해 더 큰 표본 크기를 확보하는 것이 어려울 수 있습니다. 개방형 질문 수를 조절하거나, 이에 따라 적절한 표본 크기를 계획하세요.
일반적인 표본 크기 실수를 간과하면 설문조사의 효과가 떨어질 수 있습니다. 설문조사의 표본 크기를 계산할 때는 다음과 같은 잠재적 오류를 피하세요.
더 나은 설문조사 결과를 위해 표본 크기 계산기를 사용하세요. 더 많은 응답자가 필요하다면, SurveyMonkey Audience를 활용하여 전 세계에서 설문조사 참여자를 확보하고 원하는 모든 상대로부터 응답을 수집하세요.
의견을 제공할 준비가 되어 있는 실제 사람들로 구성된 글로벌 설문조사 패널인 SurveyMonkey Audience를 이용하세요.

SurveyMonkey로 업무 효율성을 높일 수 있습니다. 성공적인 전략, 제품, 경험 등으로 더 큰 효과를 거둘 수 있는 방법을 알아보세요.

Hornblower가 어떻게 SurveyMonkey와 강력한 AI를 활용해 NPS 데이터를 최대한 활용하고, 고객 인사이트를 수집하며, 고객 경험을 개선하는지 확인해보세요.

SurveyMonkey의 브랜드 트래킹 설문조사 템플릿으로 브랜드 건강도를 개선하세요. 전문가가 추천하는 올바른 질문을 하여 브랜드 자산을 평가하세요.

생활소비재, 여행 및 접객을 포함한 소비자 제품 및 서비스 산업에서 SurveyMonkey 인사이트로 다음 단계를 설계합니다.


